
GC녹십자의료재단 전문의 김수경
최근 들어 자연 임신에 어려움을 겪는 난임 환자들이 매년 증가하고 있어 이에 따라 AMH를 포함한 폐경 나이를 예측하고 남아 있는 난소 기능을 평가할 수 있는 지표들의 중요성이 점차 커지고 있습니다. 이 중 AMH는 난임 환자에서 체외수정(In vitro fertilization, IVF)시 난소예비능(ovarian reserve)를 평가하고 결과 예측을 하는 데에 사용될 수 있습니다.
항뮬러관호르몬(Anti-Mullerian Hormone, AMH) 검사의 개요
난임 치료를 시행 받는 가임기 여성군에서는 성선자극호르몬(exogenous gonadotropin) 투여에 대한 난소반응도(ovarian responsiveness)가 감소되어 있으며, 임신 후 좋지 않은 예후를 갖는 것이 특징이므로 체외수정 시술 전에 AMH 값의 측정을 통해 개인별 난소예비능을 평가함으로써 향후 치료 과정 중에 저반응군(poor responder)이 될 가능성 및 난소과자극증후군(ovarian hyperstimulation syndrome) 등의 부작용 발생 여부를 예측할 수 있으며, 나이로 인해 체외수정을 고려하지 않았던 여성군에서도 치료를 통한 임신 가능성을 재평가해 보는 데에 도움이 될 수 있습니다.

Ref) 국민건강보험공단, 건강보험심사평가원 건강보험통계연보 2004-2014
그림 1. 저출산시대 불임 환자의 증가 추이
일반적으로 가임기 여성에서 연령이 증가함에 따라 난소예비능(ovarian reserve)이 저하되는 것으로 알려져 있습니다. 난소예비능은 난소난포 풀(ovarian follicle pool)의 크기로 평가할 수 있는데, 이러한 난소예비능을 측정하기 위해서 난소난포 수를 계측하는 것은 불가능하므로, 난포에서 분비되는 물질의 양을 측정함으로써 남아있는 난포 풀의 크기를 추정할 수 있습니다.
난소에서 분비되는 물질 중 대표적인 AMH는 세포의 성장 및 분화와 연관된 transforming growth factor-β (TGF-β) 상과(上科, superfamiliy에 속하는 이합체 당단백질로, 전동난포(preantral follicle) 또는 동난포(small antral follicle)의 난소 과립막세포(ovarian granulosa cell)로부터 생산됩니다.
AMH 검사방법
AMH는 전기화학발광면역측정법(electrochemiluminescence immunoassay, ECLIA)을 이용한 자동화 검사로 시행하고 있어 수기 검사로 인한 영향을 최소화하여 재현성이 향상되고 보다 빠른 시간 내에 결과를 얻을 수 있습니다. AMH 검사 표준화에 대한 지속적인 노력으로 2019년 11월 AMH 국제표준물질이 생산되었으며, 이후 국내 여러 기관에서도 AMH 외부정도관리가 활발하게 시행되고 있습니다.
FSH, inhibin B 등의 다른 난소예비능 평가 지표에 비해 여성의 생리주기에 따른 농도가 비교적 일정하게 유지되어 검체채취가 더 용이하다는 장점이 있습니다. 다만 경구피임약의 복용, 생식샘자극호르몬분비호르몬작용제(GnRH agonist) 등의 약물 복용, 과체중, 인종, vitamin D 수치, 현재 흡연 여부 등의 외부 요인에 의해서 영향을 받을 수 있으며, 젊은 연령의 여성에서는 생리주기에 따른 변화 양상이 상당할 수 있어 해석에 주의를 필요로 합니다.
AMH 검사의 유용성
1) 가임기 연령대의 여성에서의 폐경 시기 예측 지표
257명의 여성 집단을 대상으로 11년간 진행한 연구에서, 연령별로 평균 AMH 값이 차이를 보였으며, 평균치와 비교하여 개인별 나이에 해당하는 AMH 값에 따라 구간을 나누어 보았을 때, 각 구간에 따라 폐경 가능성이 높은 나이를 예측할 수 있다고 보고했습니다.

Ref) J Clin Endocrinol Metab. 2011 Aug;96(8):2532-9
Table 1. Age-specific AMH and corresponding percentiles for AMH and predicted age at menopause
2) 난임 여성에서 난임 치료에 대한 반응 예측 인자
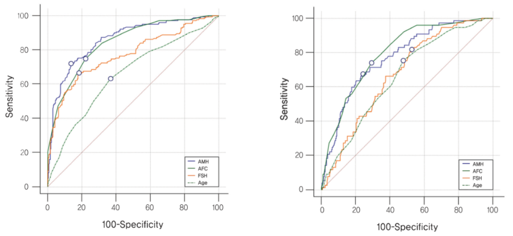
난임 여성에서 계획된 난소자극(controlled ovarian stimulation)에 대한 난소 반응을 측정하기 위해 AMH 및 난소내 동난포 개수(AFC), 나이, basal FSH를 포함한 여러 난소 기능 평가 지표들의 예측능을 비교 평가한 연구에서, AMH가 다른 지표들과 비교했을 때 저반응군에서는 AUC 0.861 (95% CI: 0.825–0.892), 고반응군에서는 AUC 0.773 (95% CI: 0.725–0.817)를 보였다. 따라서 난소반응도 모두에서 높은 정확도를 보이는 예측지표로 평가하였습니다.
또한 체외수정 시행 시, 치료 시행 전 환자의 basal AMH 값을 측정하여 개인에 맞는 치료 용량을 선택함으로써 중대한 부작용인 난소과자극증후군(ovarian hyperstimulation syndrome)의 발생율이 감소하며, 난소과자극증후군의 발생을 미리 예측하여 치료 계획을 세울 수 있습니다. AMH의 절단값(cut-off)을 통해 난소 과자극에 의한 난소과자극증후군의 발병 위험도가 높은 환자군을 예측하는데 도움이 될 수 있으나, 절단값은 검사방법 및 사용시약에 따른 차이가 있을 수 있습니다.

Ref) Fertil Steril. 2017 Feb;107(2):387-396.e4.
Figure 4. Proportion of women requiring OHSS preventive interventions and/or experiencing OHSS by AMH levels for the two treatment groups
참고문헌
01. Broer, S. L., Broekmans, F. J., Laven, J. S., & Fauser, B. C. Anti-Müllerian hormone: ovarian reserve testing and its potential clinical implications. Human reproduction update 20.5 2014: 688-701.
02. Broer, S. L., Eijkemans, M. J. C., Scheffer, G. J., Van Rooij, I. A. J., De Vet, A., Themmen, A. P. N et al.
Anti-Müllerian hormone predicts menopause: a long-term follow-up study in normoovulatory
women. The Journal of Clinical Endocrinology & Metabolism 96.8 2011: 2532-2539.
03. Huang, J., Lin, J., Gao, H., Wang, Y., Zhu, X., Lu, X et al. Anti-müllerian hormone for the prediction of ovarian response in progestin-primed ovarian stimulation protocol for IVF. Frontiers in endocrinology 10 2019: 325.
04. Andersen, A. N., Nelson, S. M., Fauser, B. C., García-Velasco, J. A., Klein, B. M., Arce, J. C et al. Individualized versus conventional ovarian stimulation for in vitro fertilization: a multicenter, randomized, controlled, assessor-blinded, phase 3 noninferiority trial. Fertility and sterility 107.2 2017: 387-396.
05. Lee, A. and Kim, H. J. Production of External Quality Assessment Materials for Anti-Müllerian Hormone Assay. Journal of Laboratory Medicine and Quality Assurance 42.4 2020: 211-217.